Send
Close Add comments:
(status displays here)
Got it! This site "www.creationpie.org" uses cookies. You consent to this by clicking on "Got it!" or by continuing to use this website. Note: This appears on each machine/browser from which this site is accessed.
Precious metals
1. Precious metals
Sometimes the names of precious metals, such as gold, silver, copper, etc., are used as a term for "money" in the Bible.
2. Genesis 4:22
Genesis 4:22 And Zillah, she also bare Tubal-cain, an instructer of every artiificer in brass and iron: and the sister of Tubal-cain was Naamah. [kjv]
It did not take long for humans to learn how to find ores and work with metals. After the creation, and before the flood, the generations went from Adam to Cain to Enoch to Lamech one of whose wives was Zillah.
The word for "
artificer" used here is «
σφυροκόπος»
The modern Greek word "κόπος" (KO-pos) ≈ "toil", from which we get "cope" as in "a lot of work".
Note: The modern Greek word "τεχνίτης" (teh-KHNEE-tees) ≈ "artificer" from which we get the word "technical".
3. Genesis 4:22
KJV: And Zillah, she also bare Tubal-cain, an instructer of every artiificer in brass and iron: and the sister of Tubal-cain was Naamah.
Hebrew: וצלה גם הוא ילדה את תובל קין לטש כל חרש נחשת וברזל ואחות תובל קין נעמה׃
Greek: σελλα δε ετεκεν και αυτη τον θοβελ και ην σφυροκοπος χαλκευς χαλκου και σιδηρου αδελφη δε θοβελ νοεμα
4. Hammer sounds
There are many words that come from the sounds that are made by objects (i.e., sounds that are not human nor animal sounds).
Genesis 4:22 And Zillah, she also bare Tubal-cain, an instructer of every artiificer in brass and iron: and the sister of Tubal-cain was Naamah. [kjv]
σελλα δε ετεκεν και αυτη τον θοβελ και ην σφυροκοπος χαλκευς χαλκου και σιδηρου αδελφη δε θοβελ νοεμα [lxx]
The modern Greek word "σφυροκόπος" (sfee-ro-KO-pos) ≈ "hammerhead", similar to the above, and made up of the following words.
The modern Greek word "σφυρί" (sfee-REE) ≈ "hammer", which has origins in the onomatopoeia of the sound mode by a hammer on metal and the whistle of the heat used to bend and cool the metals.
5. Genesis 4:22
KJV: And Zillah, she also bare Tubal-cain, an instructer of every artiificer in brass and iron: and the sister of Tubal-cain was Naamah.
Hebrew: וצלה גם הוא ילדה את תובל קין לטש כל חרש נחשת וברזל ואחות תובל קין נעמה׃
Greek: σελλα δε ετεκεν και αυτη τον θοβελ και ην σφυροκοπος χαλκευς χαλκου και σιδηρου αδελφη δε θοβελ νοεμα
6. Countries
Some regions were known for certain types of precious metals.
Spain was known for silver mines.
Britain was known for tin mines. Tin is necessary for bronze. Some say that the name "Britain" involves a reference to "tin". The location "Tarshish" is mentioned many times in the Bible.
7. 2 Chronicles 9:21
2 Chronicles 9:21 For the king's ships went to Tarshish with the servants of Huram: every three years once came the ships of Tarshish bringing gold, and silver, ivory, and apes, and peacocks. [kjv]
οτι ναυς τω βασιλει επορευετο εις θαρσις μετα των παιδων χιραμ απαξ δια τριων ετων ηρχετο πλοια εκ θαρσις τω βασιλει γεμοντα χρυσιου και αργυριου και οδοντων ελεφαντινων και πιθηκων [lxx]
8. 2 Chronicles 9:21
KJV: For the king's ships went to Tarshish with the servants of Huram: every three years once came the ships of Tarshish bringing gold, and silver, ivory, and apes, and peacocks.
Hebrew: כי אניות למלך הלכות תרשיש עם עבדי חורם אחת לשלוש שנים תבואנה אניות תרשיש נשאות זהב וכסף שנהבים וקופים ותוכיים׃
Greek: οτι ναυς τω βασιλει επορευετο εις θαρσις μετα των παιδων χιραμ απαξ δια τριων ετων ηρχετο πλοια εκ θαρσις τω βασιλει γεμοντα χρυσιου και αργυριου και οδοντων ελεφαντινων και πιθηκων
9. Words
10. Isaiah 2:16
Isaiah 2:16 And upon all the ships of Tarshish, and upon all pleasant pictures. [kjv]
Herodotus mentions that Tarsish is located outside the "
Pillars of Hercules" (Gibraltar) so that some think Tarnish is Britain while others say it is Spain (another source of tin).
Tarsish is a seafaring land.
Here the
LXX (Septuagint) is interesting in it just says "
ships of the sea" for "
ships of Tarsish".
11. Isaiah 2:16
KJV: And upon all the ships of Tarshish, and upon all pleasant pictures.
Hebrew: ועל כל אניות תרשיש ועל כל שכיות החמדה׃
Greek: και επι παν πλοιον θαλασσης και επι πασαν θεαν πλοιων καλλους
12. Isaiah 23:6
Isaiah 23:6 Pass ye over to Tarshish; howl, ye inhabitants of the isle. [kjv]
And Tarsish appears to be an island.
Here the
LXX is interesting in that instead of "
Tarsish" it says "
Carthage", a seafaring people started as a colony from Phoenicia.
Also from Herodotus (omitted), it appears that Israel may have possibly sailed around Africa to England and back, returning in three years with many exotic goods.
Cyprus was known for copper mines. The Latin name "
Cuprous" provides the chemical name
Cu for "
copper".
13. Isaiah 23:6
KJV: Pass ye over to Tarshish; howl, ye inhabitants of the isle.
Hebrew: עברו תרשישה הילילו ישבי אי׃
Greek: απελθατε εις καρχηδονα ολολυξατε οι ενοικουντες εν τη νησω ταυτη
14. Deuteronomy 8:9
Deuteronomy 8:9 A land wherein thou shalt eat bread without scarceness, thou shalt not lack any thing in it; a land whose stones are iron, and out of whose hills thou mayest dig brass. [kjv]
γη εφ ης ου μετα πτωχειας φαγη τον αρτον σου και ουκ ενδεηθηση ουδεν επ αυτης γη ης οι λιθοι σιδηρος και εκ των ορεων αυτης μεταλλευσεις χαλκον [lxx]
Precious metals are mined from mines - holes in the ground. The English word "
metal" comes from the Latin
"metallum" ≈ "mine, quarry" which comes from the Greek
"μετάλλιον" (meh-TAL-lee-on) ≈ "metal, ore" which today means "
medal". This word appears once in the
LXX.
The usage here is "
dig" as in "
mine" by "
digging".
The modern Greek word "μετάλλευμα" (meh-TAL-lev-ma) ≈ "ore".
15. Deuteronomy 8:9
KJV: A land wherein thou shalt eat bread without scarceness, thou shalt not lack any thing in it; a land whose stones are iron, and out of whose hills thou mayest dig brass.
Hebrew: ארץ אשר לא במסכנת תאכל בה לחם לא תחסר כל בה ארץ אשר אבניה ברזל ומהרריה תחצב נחשת׃
Greek: γη εφ ης ου μετα πτωχειας φαγη τον αρτον σου και ουκ ενδεηθηση ουδεν επ αυτης γη ης οι λιθοι σιδηρος και εκ των ορεων αυτης μεταλλευσεις χαλκον
16. Matthew 24:43 Ores
Matthew 24:43 But know this, that if the goodman of the house had known in what watch the thief would come, he would have watched, and would not have suffered his house to be broken up. [kjv]
The English word for "
ore" is related to another Greek word for "
ore".
The modern Greek word "ορυκτό" (o-ree-KTO) ≈ "mineral, ore".
This root appears twice in the
GNT (Greek New Testament).
17. Matthew 24:43
KJV: But know this, that if the goodman of the house had known in what watch the thief would come, he would have watched, and would not have suffered his house to be broken up.
Greek: εκεινο δε γινωσκετε οτι ει ηδει ο οικοδεσποτης ποια φυλακη ο κλεπτης ερχεται εγρηγορησεν αν και ουκ αν ειασεν διορυγηναι διορυχθηναι την οικιαν αυτου
18. Luke 12:39
Luke 12:39 And this know, that if the goodman of the house had known what hour the thief would come, he would have watched, and not have suffered his house to be broken through. [kjv]
τουτο δε γινωσκετε οτι ει ηδει ο οικοδεσποτης ποια ωρα ο κλεπτης ερχεται εγρηγορησεν αν και ουκ αφηκεν διορυχθηναι τον οικον αυτου [gnt]
Is the house "
broken up" or "
mined" for the valuables inside the house?
In both verses, we see variants of this word for "
broken through".
«διορυχθηναι» in the TR (Textus Receptus).
«διορυγιηναι» in the WH (Westcott Horte).
Note the «
δι» in front for «
δια» for "
through" as in "
diameter".
The Greek roots «
ορυχ» and «
ορυγ» are related.
19. Luke 12:39
KJV: And this know, that if the goodman of the house had known what hour the thief would come, he would have watched, and not have suffered his house to be broken through.
Greek: τουτο δε γινωσκετε οτι ει ηδει ο οικοδεσποτης ποια ωρα ο κλεπτης ερχεται εγρηγορησεν αν και ουκ αν αφηκεν διορυγιηναι διορυχθηναι τον οικον αυτου
20. Exodus 22:2
Exodus 22:2 If a thief be found breaking up, and be smitten that he die, there shall no blood be shed for him. [kjv]
εαν δε εν τω διορυγματι ευρεθη ο κλεπτης και πληγεις αποθανη ουκ εστιν αυτω φονος [lxx]
21. Exodus 22:2
KJV: If a thief be found breaking up, and be smitten that he die, there shall no blood be shed for him.
Hebrew: אם במחתרת ימצא הגנב והכה ומת אין לו דמים׃
Greek: εαν δε εν τω διορυγματι ευρεθη ο κλεπτης και πληγεις αποθανη ουκ εστιν αυτω φονος
22. Psalms 94:13
Psalms 94:13 That thou mayest give him rest from the days of adversity, until the pit be digged for the wicked. [kjv]
του πραυναι αυτω αφ ημερων πονηρων εως ου ορυγη τω αμαρτωλω βοθρος [lxx]
In Psalms, we see a "
pit" that is "
digged", as in a mine, is for the "
ore".
The ancient Greek word
"ὠρυγή" ≈ "howling of wolves, dogs, etc.".
23. Psalms 94:13
KJV: That thou mayest give him rest from the days of adversity, until the pit be digged for the wicked.
Hebrew: להשקיט לו מימי רע עד יכרה לרשע שחת׃
Greek: του πραυναι αυτω αφ ημερων πονηρων εως ου ορυγη τω αμαρτωλω βοθρος
24. Amos 9:2 Digging into Hades
25. Amos 9:2
KJV: Though they dig into hell, thence shall mine hand take them; though they climb up to heaven, thence will I bring them down:
Hebrew: אם יחתרו בשאול משם ידי תקחם ואם יעלו השמים משם אורידם׃
Greek: εαν κατορυγωσιν εις αδου εκειθεν η χειρ μου ανασπασει αυτους και εαν αναβωσιν εις τον ουρανον εκειθεν καταξω αυτους
26. Numbers 31:22 Precious metals
Here are some verses that mention many precious metals of the time.
Numbers 31:22 Only the gold, and the silver, the brass, the iron, the tin, and the lead, [kjv]
πλην του χρυσιου και του αργυριου και χαλκου και σιδηρου και μολιβου και κασσιτερου [lxx]
27. Numbers 31:22
KJV: Only the gold, and the silver, the brass, the iron, the tin, and the lead,
Hebrew: אך את הזהב ואת הכסף את הנחשת את הברזל את הבדיל ואת העפרת׃
Greek: πλην του χρυσιου και του αργυριου και χαλκου και σιδηρου και μολιβου και κασσιτερου
28. Matthew 25:18 Silver
Matthew 25:18 But he that had received one went and digged in the earth, and hid his lord's money. [kjv]
ο δε το εν λαβων απελθων ωρυξεν γην και εκρυψεν το αργυριον του κυριου αυτου [gnt]
The Greek translated as
"money" is that of
"silver" which can be a play on words with "
lazy way around".
English word order: and hid his lord's silver.
Greek word order: and hid the silver [lazy way around] of the lord of his/it. (possible ambiguous pronoun his/it at the end)
The ancient Greek word
"ἄργυρος" ≈ "silver" and may be related to the Latin word
"argentum" ≈ "silver" which is the source of the name "
Argentina" and the chemical symbol
"Ag", atomic number
47.
29. 1 Timothy 6:10
1 Timothy 6:10 For the love of money is the root of all evil: which while some coveted after, they have erred from the faith, and pierced themselves through with many sorrows. [kjv]
ριζα γαρ παντων των κακων εστιν η φιλαργυρια ης τινες ορεγομενοι απεπλανηθησαν απο της πιστεως και εαυτους περιεπειραν οδυναις πολλαις [gnt]
According to Paul, as he tells Timothy, it is not "
money is the root of all evil" but that the "
love of money is the root of all evil".
There is a special word for "
lovers of sliver", which is still in use today.
The modern Greek word "φίλος" (FEE-los) ≈ "friend, companion".
The modern Greek word "φιλάργυρος" (fee-LAR-y-ros) ≈ "stingy, miserly", literally "friend or lover of silver".
30. 1 Timothy 6:10
KJV: For the love of money is the root of all evil: which while some coveted after, they have erred from the faith, and pierced themselves through with many sorrows.
Greek: ριζα γαρ παντων των κακων εστιν η φιλαργυρια ης τινες ορεγομενοι απεπλανηθησαν απο της πιστεως και εαυτους περιεπειραν οδυναις πολλαις
31. Ecclesiastes 5:10
Ecclesiastes 5:10 He that loveth silver shall not be satisfied with silver; nor he that loveth abundance with increase: this is also vanity. [kjv]
αγαπων αργυριον ου πλησθησεται αργυριου και τις ηγαπησεν εν πληθει αυτων γενημα και γε τουτο ματαιοτης [lxx]
Does money satisfy? Does silver satisfy? Does golf (name your activity) satisfy? Or does it consume?
32. Ecclesiastes 5:10
KJV: He that loveth silver shall not be satisfied with silver; nor he that loveth abundance with increase: this is also vanity.
Hebrew: אהב כסף לא ישבע כסף ומי אהב בהמון לא תבואה גם זה הבל׃
Greek: αγαπων αργυριον ου πλησθησεται αργυριου και τις ηγαπησεν εν πληθει αυτων γενημα και γε τουτο ματαιοτης
33. Ezekiel 7:19
Ezekiel 7:19 They shall cast their silver in the streets, and their gold shall be removed: their silver and their gold shall not be able to deliver them in the day of the wrath of the LORD: they shall not satisfy their souls, neither fill their bowels: because it is the stumblingblock of their iniquity. [kjv]
το αργυριον αυτων ριφησεται εν ταις πλατειαις και το χρυσιον αυτων υπεροφθησεται αι ψυχαι αυτων ου μη εμπλησθωσιν και αι κοιλιαι αυτων ου μη πληρωθωσιν διοτι βασανος των αδικιων αυτων εγενετο [lxx]
34. Ezekiel 7:19
KJV: They shall cast their silver in the streets, and their gold shall be removed: their silver and their gold shall not be able to deliver them in the day of the wrath of the LORD: they shall not satisfy their souls, neither fill their bowels: because it is the stumblingblock of their iniquity.
Hebrew: כספם בחוצות ישליכו וזהבם לנדה יהיה כספם וזהבם לא יוכל להצילם ביום עברת יהוה נפשם לא ישבעו ומעיהם לא ימלאו כי מכשול עונם היה׃
Greek: το αργυριον αυτων ριφησεται εν ταις πλατειαις και το χρυσιον αυτων υπεροφθησεται αι ψυχαι αυτων ου μη εμπλησθωσιν και αι κοιλιαι αυτων ου μη πληρωθωσιν διοτι βασανος των αδικιων αυτων εγενετο
35. Sardis
Does the history and wealth of Sardis have anything to do with what Jesus is saying? Sardis was on a high bluff, but twice armies found ways to get up the bluff and surprise Sardis and take the city.
36. Luke 16:14
Luke 16:14 And the Pharisees also, who were covetous, heard all these things: and they derided him. [kjv]
The same word for "
silver" can mean "
covetous".
The Latin "aurum" ≈ "gold". Chemical symbol Au. Atomic number 79.
The Latin "chrysos" ≈ "gold".
The modern Greek word "χρυσός" (hree-SOS) ≈ "gold", same as in Bible times.
Gold is mentioned many times in the Bible. Unlike silver as «
αγρυρος», which is often translated as "
money", gold as «
χρυσός» appears to be always translated as "
gold".
37. Luke 16:14
KJV: And the Pharisees also, who were covetous, heard all these things: and they derided him.
Greek: ηκουον δε ταυτα παντα και οι φαρισαιοι φιλαργυροι υπαρχοντες και εξεμυκτηριζον αυτον
38. Matthew 2:11
KJV: And when they were come into the house, they saw the young child with Mary his mother, and fell down, and worshipped him: and when they had opened their treasures, they presented unto him gifts; gold, and frankincense, and myrrh.
Greek: και ελθοντες εις την οικιαν ευρον ειδον το παιδιον μετα μαριας της μητρος αυτου και πεσοντες προσεκυνησαν αυτω και ανοιξαντες τους θησαυρους αυτων προσηνεγκαν αυτω δωρα χρυσον και λιβανον και σμυρναν
39. Matthew 10:9
KJV: Provide neither gold, nor silver, nor brass in your purses,
Greek: μη κτησησθε χρυσον μηδε αργυρον μηδε χαλκον εις τας ζωνας υμων
40. Matthew 23:17
KJV: Ye fools and blind: for whether is greater, the gold, or the temple that sanctifieth the gold?
Greek: μωροι και τυφλοι τις γαρ μειζων εστιν ο χρυσος η ο ναος ο αγιαζων αγιασας τον χρυσον
41. Exodus 20:23
KJV: Ye shall not make with me gods of silver, neither shall ye make unto you gods of gold.
Hebrew: לא תעשון אתי אלהי כסף ואלהי זהב לא תעשו לכם׃
Greek: ου ποιησετε εαυτοις θεους αργυρους και θεους χρυσους ου ποιησετε υμιν αυτοις
42. Croesus and Sardis
Historical note: Herodotus relates the story of the rich Lydian King Croesus (Lydia is in Asia Minor it present day Turkey) who mined and developed gold coins. The capital city was Sardis, which is one of the seven churches of Revelation to whom Jesus sends a letter via the apostle John. A common English expression (less common today) is to call someone who is very rich "rich as Croesus".
43. Revelation 3:1
KJV: And unto the angel of the church in Sardis write; These things saith he that hath the seven Spirits of God, and the seven stars; I know thy works, that thou hast a name that thou livest, and art dead.
Greek: και τω αγγελω της εν σαρδεσιν εκκλησιας γραψον ταδε λεγει ο εχων τα επτα πνευματα του θεου και τους επτα αστερας οιδα σου τα εργα οτι το ονομα εχεις οτι ζης και νεκρος ει
44. Revelation 3:2
KJV: Be watchful, and strengthen the things which remain, that are ready to die: for I have not found thy works perfect before God.
Greek: γινου γρηγορων και στηριξον στηρισον τα λοιπα α μελλει εμελλον αποθανειν ου γαρ ευρηκα σου τα εργα πεπληρωμενα ενωπιον του θεου μου
45. Electrum and electrons
46. Ezekiel 1:4
Ezekiel 1:4 And I looked, and, behold, a whirlwind came out of the north, a great cloud, and a fire infolding itself, and a brightness was about it, and out of the midst thereof as the colour of amber, out of the midst of the fire. [kjv]
και ειδον και ιδου πνευμα εξαιρον ηρχετο απο βορρα και νεφελη μεγαλη εν αυτω και φεγγος κυκλω αυτου και πυρ εξαστραπτον και εν τω μεσω αυτου ως ορασις ηλεκτρου εν μεσω του πυρος και φεγγος εν αυτω [lxx]
… species electri … [v]
The Latin word
"electri" ≈ "amber".
The modern Greek word
"όραση" (O-ra-see) ≈ "vision, sight".
The modern Greek word
"όρος" (O-ros) ≈ "mountain, definition, boundary" is the origin of the English word "
horizon" through the Latin word
"horizon" ≈ "horizon" and is related to the Greek word for vision or sight since the horizon is the boundary of what can be seen.
47. Ezekiel 1:4
KJV: And I looked, and, behold, a whirlwind came out of the north, a great cloud, and a fire infolding itself, and a brightness was about it, and out of the midst thereof as the colour of amber, out of the midst of the fire.
Hebrew: וארא והנה רוח סערה באה מן הצפון ענן גדול ואש מתלקחת ונגה לו סביב ומתוכה כעין החשמל מתוך האש׃
Greek: και ειδον και ιδου πνευμα εξαιρον ηρχετο απο βορρα και νεφελη μεγαλη εν αυτω και φεγγος κυκλω αυτου και πυρ εξαστραπτον και εν τω μεσω αυτου ως ορασις ηλεκτρου εν μεσω του πυρος και φεγγος εν αυτω
Latin: et vidi et ecce ventus turbinis veniebat ab aquilone et nubes magna et ignis involvens et splendor in circuitu eius et de medio eius quasi species electri id est de medio ignis
Wycliffe: And Y siy, and lo! a whirlewynd cam fro the north, and a greet cloude, and fier wlappynge in, and briytnesse in the cumpas therof; and as the licnesse of electre fro the myddis therof, that is, fro the myddis of the fier.
48. Ezekiel 1:27
Ezekiel 1:27 And I saw as the colour of amber, as the appearance of fire round about within it, from the appearance of his loins even upward, and from the appearance of his loins even downward, I saw as it were the appearance of fire, and it had brightness round about. [kjv]
και ειδον ως οψιν ηλεκτρου απο ορασεως οσφυος και επανω και απο ορασεως οσφυος και εως κατω ειδον ως ορασιν πυρος και το φεγγος αυτου κυκλω [lxx]
… speciem electri … [v]
… licnesse … electre… [wy]
The ancient Greek word
"όψις" (O-psees) ≈ "view" from which we get English words such as "
optical", "
optometry", etc.
49. Ezekiel 1:27
KJV: And I saw as the colour of amber, as the appearance of fire round about within it, from the appearance of his loins even upward, and from the appearance of his loins even downward, I saw as it were the appearance of fire, and it had brightness round about.
Hebrew: וארא כעין חשמל כמראה אש בית לה סביב ממראה מתניו ולמעלה וממראה מתניו ולמטה ראיתי כמראה אש ונגה לו סביב׃
Greek: και ειδον ως οψιν ηλεκτρου απο ορασεως οσφυος και επανω και απο ορασεως οσφυος και εως κατω ειδον ως ορασιν πυρος και το φεγγος αυτου κυκλω
Latin: et vidi quasi speciem electri velut aspectum ignis intrinsecus eius per circuitum a lumbis eius et desuper et a lumbis eius usque deorsum vidi quasi speciem ignis splendentis in circuitu
Wycliffe: And Y siy as a licnesse of electre, as the biholding of fier with ynne, bi the cumpas therof; fro the lendis of hym and aboue, and fro the lendis of him til to bynethe, Y siy as the licnesse of fier schynynge in cumpas,
50. Ezekiel 8:2 Amber
Ezekiel 8:2 Then I beheld, and lo a likeness as the appearance of fire: from the appearance of his loins even downward, fire; and from his loins even upward, as the appearance of brightness, as the colour of amber. [kjv]
και ειδον και ιδου ομοιωμα ανδρος απο της οσφυος αυτου και εως κατω πυρ και απο της οσφυος αυτου υπερανω ως ορασις ηλεκτρου [lxx]
… visio electri [v]
… siyt … electre. [wy]
What is "
amber"? Amber is a yellow fossilized resin of evergreen trees. It was known to the Greeks that rubbing amber with a dry cloth produced what today is called static electricity. The ancient Greek term for "
amber" was used to name the electricity, the electron, etc.
51. Ezekiel 8:2
KJV: Then I beheld, and lo a likeness as the appearance of fire: from the appearance of his loins even downward, fire; and from his loins even upward, as the appearance of brightness, as the colour of amber.
Hebrew: ואראה והנה דמות כמראה אש ממראה מתניו ולמטה אש וממתניו ולמעלה כמראה זהר כעין החשמלה׃
Greek: και ειδον και ιδου ομοιωμα ανδρος απο της οσφυος αυτου και εως κατω πυρ και απο της οσφυος αυτου υπερανω ως ορασις ηλεκτρου
Latin: et vidi et ecce similitudo quasi aspectus ignis ab aspectu lumborum eius et deorsum ignis et a lumbis eius et sursum quasi aspectus splendoris ut visio electri
Wycliffe: And Y siy, and lo! a licnesse as the biholdyng of fier; fro the biholding of hise leendis and bynethe was fier, and fro hise leendis and aboue was as the biholdyng of schynyng, as the siyt of electre.
52. Electrons
Electrons were named in 1600 by English scientist William Gilbert from the new Latin word
"electrica" ≈ "amber".
53. Benjamin Franklin
Benjamin Franklin did scientific experiments with electricity, lightning, etc., in the 1700's.
His theory was essentially correct and he established the naming conventions for "negative" and "positive" charge and "electricity" flows from "positive" to "negative". The next century, it was discovered that electrons actually carry the charge and move in the opposite direction, but the convention had already been established.
54. Faraday
Faraday did a lot of work with electricity and magnetism in the 1800's, as did Maxwell which resulted in his famous equations.
55. Einstein
Einstein used Maxwell's equations (as did others) to derive some results that did not make sense. Einstein was able to see how to resolve those details by changing how one thinks about time and space.
Einstein work with electrons (and atomic particles) resulted in an understanding of Brownian motion (and atomic particles), the quantum nature of reality (photo-electric effect), etc.
Back to the electron.
56. Electron orbits and empty space
From grade school and after, we are taught that electrons orbit around a nucleus. And that is a model that allows us to think about and discuss atomic structures. But how accurate is that model?
A simple model for hydrogen has one proton in the nucleus and one electron in the orbitals. Let us assume that the model is accurate. The following questions arise.
How big is the nucleus?
How big is the electron?
How far is the electron from the nucleus?
57. Details
The nucleus radius was first discovered/deduced by Ernest Rutherford in 1911 from the famous gold foil experiment done in 1909.
The electron radius is as close can be to what mathematics calls a point - no (measurable) thickness.
The orbit radius (ground state, lowest energy level) is named the Bohr radius after Neils Bohr and his Bohr model of the atom.
58. Atomic orbits

Richard Feynman was one of the top physics personalities of his time, after Albert Einstein and before Steven Hawking.
Shortly after electrons were discovered it was thought that atoms were like little solar systems, made up of a … nucleus and electrons, which went around in “orbits,” much like the planets … around the sun. If you think that’s the way atoms are, then you’re back in 1910. (From his book on
QED).
The orbit model is a nice way to think of and work with atoms, as long as one does not take the model literally.
59. Point particle
Does mathematics exist in reality or just in the mind? A point has no dimensions.
An electron approximates a point particle and no substructure has ever been detected.
The ratio of the electron to proton mass has been measured to be about
1/1836.
But what of the distance of the electron from the proton nucleus, in an approximate sense?
60. Measurements
Here are the (approximate) accepted and measured values, using scientific notation.
nucleus radius: 1.75x10-15 meters
electron radius: point
orbit radius: 5.29x10-11 meters
The ratio of the orbit radius to the nucleus orbit is as follows.
5,29x10
11 / 1.75x10
15
≈ 3.02x10
4
= 30,020
≈ 30,000
So the orbital radius is about 30,000 times greater than the nucleus radius.
How can we visualize this?
61. Football field analogy
Consider a football field that is 100 yards long (excluding the end zones). The playing area, 100 yards, is about 91.44 meters which 91,440 millimeters which is about 90,000 millimeters.
Consider half the field at field at 45.72 meters or 45,720 millimeters.
So if the football field were the orbit radius, the nucleus would have a radius of about 45,720 / 30,000 = 1.52 mm or about 1.5 mm.
1.52 mm is about the radius of the head of a pin. Do you see the pin head?
62. Empty space
In this case, the red dot at the center is 6 inches in diameter, or about 152 mm. So the area of that red dot is
(152 * 152) / (1.52 * 1.52) = 100 * 100 = 10,000
time bigger (in area) than actual size.
So if a pinhead of radius 1.5 mm were at the midfield at the 50 yard line, the outer orbit would be at the goal lines.
This would imply that most of what we call solid space is actually mostly empty space.
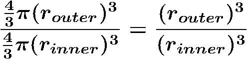
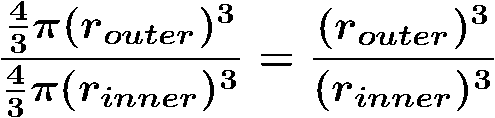
The volume of a sphere of radius
r is as follows.
63. Empty space
If the nucleus is considered solid and the space between the nucleus is empty, then, using the above formula, the ratio of empty space to solid space is the following.
So, since the ratio of orbit radius to nuclear radius is about
30,000 to
1, the ratio of orbit volume to nuclear volume is the following.

64. Consequence
So, if you claim that a table is solid and I claim that it is empty space, then, according to the model, my claim would be 27 trillion times more accurate than your claim.
So, in daily life, what we consider to be solid is actually empty space. What is the reality here?
Why do we not fall though the floor? Answer: The electrostatic forces repelling us from the floor are much greater than the gravity force pulling us down to the floor.
65. Probability distributions
Due to factors having to do with the physical reality in which we live, what we know about electrons about the nucleus is more along the lines of a probability distribution rather than exact precise classical locations.
66. Romans 1:20 Invisible
Romans 1:20 For the invisible things of him from the creation of the world are clearly seen, being understood by the things that are made, even his eternal power and Godhead; so that they are without excuse: [kjv]
Electrons (and atoms) are so small that they cannot be seen with the naked eye. One needs an "
electron microscope". They can be detected.
67. Romans 1:20
KJV: For the invisible things of him from the creation of the world are clearly seen, being understood by the things that are made, even his eternal power and Godhead; so that they are without excuse:
Greek: τα γαρ αορατα αυτου απο κτισεως κοσμου τοις ποιημασιν νοουμενα καθοραται η τε αιδιος αυτου δυναμις και θειοτης εις το ειναι αυτους αναπολογητους
Latin: invisibilia enim ipsius a creatura mundi per ea quae facta sunt intellecta conspiciuntur sempiterna quoque eius virtus et divinitas ut sint inexcusabiles
Wycliffe: For the vnuysible thingis of hym, that ben vndurstondun, ben biholdun of the creature of the world, bi tho thingis that ben maad, yhe, and the euerlastynge vertu of hym and the godhed, so that thei mowe not be excusid.
Luther: damit, daß Gottes unsichtbares Wesen, das ist, seine ewige Kraft und Gottheit, wird ersehen, so man des wahrnimmt an den Werken, nämlich an der Schöpfung der Welt, also daß sie keine Entschuldigung haben,
Note that the
KJV (King James Version) word "
clearly seen" is one word in the Greek, "
καθοραται" (above) which comes from the modern Greek word
"καθαρά" (ka-tha-RA) ≈ "clearly" and the modern Greek word
"όραση" (O-ra-see) ≈ "vision, sight" (from a previous verse above).
The modern Greek word
"αόρατος" (a-O-ra-tos) ≈ "not seen, invisible" where the "
α" negates the Greek word for vision or sight.
The Latin word
"invisibilia" ≈ "invisible" is the source of the English word "
invisible".
68. Mark 6:8
KJV: And commanded them that they should take nothing for their journey, save a staff only; no scrip, no bread, no money in their purse:
Greek: και παρηγγειλεν αυτοις ινα μηδεν αιρωσιν εις οδον ει μη ραβδον μονον μη πηραν μη αρτον μη πηραν μη εις την ζωνην χαλκον
The modern Greek word "χαλκός" (hal-KOS) ≈ "copper".
The Latin "cuprum" ≈ "copper". Chemical symbol Cu. Atomic number 29. Mined in Cyprus, from which the name "copper" originates.
The modern Greek word "χαλκός" (hal-KOS) ≈ "copper".
The English word "copper" comes from the Latin "cuprum" ≈ "copper" which comes from the Greek island name for "Κύπρος" (KEE-pros) ≈ "Cyprus" where copper was mined. The chemical symbol for copper is Cu for the Latin "cuprum"
The island of Cyprus is mentioned
8 times in the
GNT.
69. Acts 21:3
KJV: Now when we had discovered Cyprus , we left it on the left hand , and sailed into Syria , and landed at Tyre : for there the ship was to unlade her burden .
Greek: αναφαναντες δε την κυπρον και καταλιποντες αυτην ευωνυμον επλεομεν εις συριαν και κατηχθημεν κατηλθομεν εις τυρον εκεισε γαρ ην το πλοιον ην αποφορτιζομενον τον γομον
70. Tin
71. Lead
The modern Greek word "μόλυβδος" (MO-lee-vthos) ≈ "lead".
The modern Greek word "μολύβι" (mo-LEE-vee) ≈ "pencil".
From the Greek word for "
lead" we get the name for chemical element number
42 "
molybdenum" with symbol
Mo. To the Greeks, molybdenum ore and lead ore were similar.
As a historical note, throughout history, lead was cheaper than silver and other metals so that poorer people tended to use lead eating utensils instead of other metals, and tended to suffer more from lead poisoning as a result.
72. Iron
The modern Greek word "σίδερο" (SEE-theh-ro) ≈ "iron".
Iron is mentioned many places in the Bible. In Daniel, it is mentioned along with other precious metals.
73. Daniel 2:32
KJV: This image's head was of fine gold, his breast and his arms of silver, his belly and his thighs of brass,
Hebrew: הוא צלמא ראשה די דהב טב חדוהי ודרעוהי די כסף מעוהי וירכתה די נחש׃
Greek: η εικων ης η κεφαλη χρυσιου χρηστου αι χειρες και το στηθος και οι βραχιονες αυτης αργυροι η κοιλια και οι μηροι χαλκοι
74. Daniel 2:33
KJV: His legs of iron, his feet part of iron and part of clay.
Hebrew: שקוהי די פרזל רגלוהי מנהון די פרזל ומנהון די חסף׃
Greek: αι κνημαι σιδηραι οι ποδες μερος τι σιδηρουν και μερος τι οστρακινον
75. Daniel 2:34
KJV: Thou sawest till that a stone was cut out without hands, which smote the image upon his feet that were of iron and clay, and brake them to pieces.
Hebrew: חזה הוית עד די התגזרת אבן די לא בידין ומחת לצלמא על רגלוהי די פרזלא וחספא והדקת המון׃
Greek: εθεωρεις εως ου ετμηθη λιθος εξ ορους ανευ χειρων και επαταξεν την εικονα επι τους ποδας τους σιδηρους και οστρακινους και ελεπτυνεν αυτους εις τελος
76. Daniel 2:49
Daniel 2:33 His legs of iron, his feet part of iron and part of clay. [kjv]
αι κνημαι σιδηραι οι ποδες μερος τι σιδηρουν και μερος τι οστρακινον [lxx]
In the
LXX the order of the clay and iron are switched.
77. Daniel 2:35
KJV: Then was the iron, the clay, the brass, the silver, and the gold, broken to pieces together, and became like the chaff of the summer threshingfloors; and the wind carried them away, that no place was found for them: and the stone that smote the image became a great mountain, and filled the whole earth.
Hebrew: באדין דקו כחדה פרזלא חספא נחשא כספא ודהבא והוו כעור מן אדרי קיט ונשא המון רוחא וכל אתר לא השתכח להון ואבנא די מחת לצלמא הות לטור רב ומלת כל ארעא׃
Greek: τοτε ελεπτυνθησαν εις απαξ το οστρακον ο σιδηρος ο χαλκος ο αργυρος ο χρυσος και εγενοντο ωσει κονιορτος απο αλωνος θερινης και εξηρεν αυτα το πληθος του πνευματος και τοπος ουχ ευρεθη αυτοις και ο λιθος ο παταξας την εικονα εγενηθη ορος μεγα και επληρωσεν πασαν την γην
78. End of page